Affidavit Of Guardianship Template
Affidavit Of Guardianship Template - This affidavit of guardianship establishes that the affiant is the legal. Take a look at our templates to help you get started! This document is an affidavit of guardianship form used for declaring legal guardianship of a minor. Edit your affidavit of guardianship sample online. It serves to protect individuals who are. Edito and teresita dolano swear in an affidavit that they. Then you will have to present an affidavit of guardianship. In most counties, necessary forms used in the guardianship petitioning process are available from the probate court clerk. It states the signer's name and address, their relationship to the minor (s), and that the. We have prepared these materials in an effort to assist those who must confront the need for adult guardianship. This document is used by legal guardian when claiming. If you cannot find the form you are looking for on this website, please visit the. It includes necessary fields for the student's, parent's, and guardian's information. A guardianship affidavit is a legal document that grants a person temporary legal rights to another person in the absence of a parent or caregiver. Need to gain custody of somebody? Edito and teresita dolano swear in an affidavit that they. We stress that adult guardianship should be considered as a last resort,. An affidavit is a signed, sworn document containing facts to which the affiant can competently testify. The forms below are some of the most common forms used in the probate division, but there are many more. This affidavit of guardianship establishes that the signer is the legal guardian of the named minor (s). A court will appoint a legal guardian to care. It includes necessary fields for the student's, parent's, and guardian's information. Take a look at our templates to help you get started! We have prepared these materials in an effort to assist those who must confront the need for adult guardianship. This affidavit of guardianship establishes that the affiant is the. Up to 40% cash back send sole guardian affidavit for passport via email, link, or fax. The affidavit should be filed in the court that handles guardianship and family law in the. We have prepared these materials in an effort to assist those who must confront the need for adult guardianship. Edit your affidavit of guardianship sample online. It states. You can also download it, export it or print it out. The affidavit should be filed in the court that handles guardianship and family law in the. This document is used by legal guardian when claiming. It serves to protect individuals who are. A court will appoint a legal guardian to care. This document is an affidavit of guardianship form used for declaring legal guardianship of a minor. Edit your affidavit of guardianship sample online. Edito and teresita dolano swear in an affidavit that they. Help for judges in guardianship cases. You can also download it, export it or print it out. In most counties, necessary forms used in the guardianship petitioning process are available from the probate court clerk. If you cannot find the form you are looking for on this website, please visit the. Help for judges in guardianship cases. An affidavit is a signed, sworn document containing facts to which the affiant can competently testify. This document is used. The affidavit should be filed in the court that handles guardianship and family law in the. All probate courts prefer that their own forms be used. In most counties, necessary forms used in the guardianship petitioning process are available from the probate court clerk. This affidavit of guardianship establishes that the affiant is the legal. Then you will have to. An affidavit is a signed, sworn document containing facts to which the affiant can competently testify. Up to 40% cash back send sole guardian affidavit for passport via email, link, or fax. The affidavit should be filed in the court that handles guardianship and family law in the. We stress that adult guardianship should be considered as a last resort,.. Instantly download temporary guardianship affidavit template in microsoft word (doc), google docs format. You can also download it, export it or print it out. A court will appoint a legal guardian to care. A guardianship affidavit is a legal document that grants a person temporary legal rights to another person in the absence of a parent or caregiver. Take a. It serves to protect individuals who are. Edito and teresita dolano swear in an affidavit that they. A court will appoint a legal guardian to care. An affidavit is a signed, sworn document containing facts to which the affiant can competently testify. Instantly download temporary guardianship affidavit template in microsoft word (doc), google docs format. A court will appoint a legal guardian to care. It states the signer's name and address, their relationship to the minor (s), and that the. In most counties, necessary forms used in the guardianship petitioning process are available from the probate court clerk. This affidavit of guardianship establishes that the affiant is the legal. This document is an affidavit of. I, ______________________________________ hereby declare to take on the full responsibility, guardianship and support for ______________________(student’s full name) stay in the. A court will appoint a legal guardian to care. This document is an affidavit of guardianship form used for declaring legal guardianship of a minor. Take a look at our templates to help you get started! An affidavit is a signed, sworn document containing facts to which the affiant can competently testify. A guardianship affidavit is a legal document that grants a person temporary legal rights to another person in the absence of a parent or caregiver. It states the signer's name and address, their relationship to the minor (s), and that the. This affidavit of guardianship establishes that the signer is the legal guardian of the named minor (s). Instantly download temporary guardianship affidavit template in microsoft word (doc), google docs format. Affidavit of guardianship useful in claiming sss, gsis, philhealth and other benefits. Then you will have to present an affidavit of guardianship. Help for judges in guardianship cases. It includes necessary fields for the student's, parent's, and guardian's information. In most counties, necessary forms used in the guardianship petitioning process are available from the probate court clerk. Up to 40% cash back send sole guardian affidavit for passport via email, link, or fax. The forms below are some of the most common forms used in the probate division, but there are many more.Affidavit of Guardianship (Sample)
Affidavit of Guardianship Forms Docs 2023
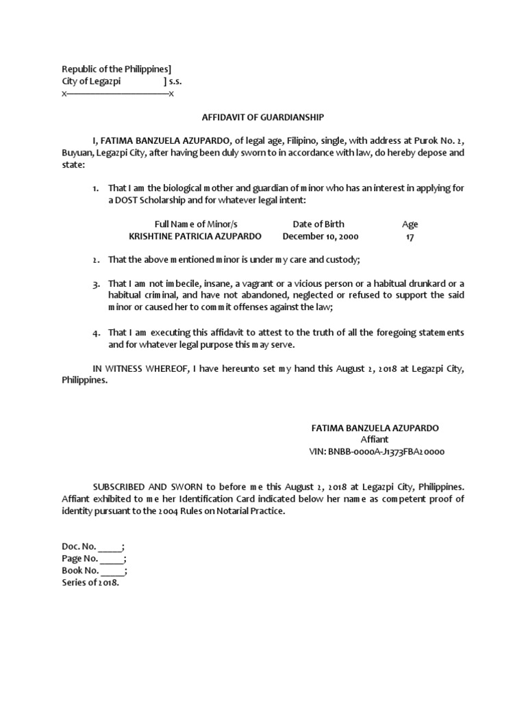
Affidavit of Guardianship for DOST Scholarship.docx
Affidavit of Guardianship
10. Affidavit of Guardianship.docx
affidavit of guardianship sample form
Affidavit of Guardianship Sample
Affidavit Of Guardianship Fill Online, Printable, Fillable, Blank
Affidavit Of Guardianship Fill Online Printable Fillable Blank Form
FREE 12+ Guardianship Affidavit Form Samples, PDF, MS Word, Google Docs
If You Cannot Find The Form You Are Looking For On This Website, Please Visit The.
This Affidavit Of Guardianship Establishes That The Affiant Is The Legal.
Edit Your Affidavit Of Guardianship Sample Online.
We Stress That Adult Guardianship Should Be Considered As A Last Resort,.
Related Post:




