Film Review Template
Film Review Template - Start with a compelling fact, quote, or opinion on the movie. Different templates are there for different genres of films. We offer 100% authentic and well formatted film review template. Film reviews for first (fce) and advanced (cae) cambridge exams, as well as trinity ise exams, should all use a 4 paragraph structure. Read on to learn how to analyze a movie like a professional film critic, come up with an interesting thesis, and write a review as entertaining as your source material. This template helps students write a film review by encouraging them to answer relevant questions about the. Check out some of the movie review templates below! This film review template resource is great for teaching your class how to structure and write a film review analyzing a movie they've watched. Crafting an informative and engaging movie review demands a delicate balance of captivating storytelling, insightful analysis, and thoughtful critique. A basic film review template shows you how to write a film review using a simple structure. You want to get the reader hooked immediately. You can write, record, or film a movie review for blogs, news publications, entertainment podcasts, radio broadcasts, television, or. Film reviews for first (fce) and advanced (cae) cambridge exams, as well as trinity ise exams, should all use a 4 paragraph structure. In this guide, we’ll explore the essential elements of writing a movie review, accompanied by illustrative examples to. Find the right template for your purposes and make it informative as well as lucid with your own writing style. Check out some of the movie review templates below! A film review is a critical judgment or discussion that informs about the release of a new film and contains its analysis, assessment, summary, as well as personal impressions and experiences after watching. Crafting an informative and engaging movie review demands a delicate balance of captivating storytelling, insightful analysis, and thoughtful critique. Read on to learn how to analyze a movie like a professional film critic, come up with an interesting thesis, and write a review as entertaining as your source material. Different templates are there for different genres of films. In this guide, we’ll explore the essential elements of writing a movie review, accompanied by illustrative examples to. We offer 100% authentic and well formatted film review template. You can write, record, or film a movie review for blogs, news publications, entertainment podcasts, radio broadcasts, television, or. Find the right template for your purposes and make it informative as well. Different templates are there for different genres of films. We offer 100% authentic and well formatted film review template. A basic film review template shows you how to write a film review using a simple structure. You can write, record, or film a movie review for blogs, news publications, entertainment podcasts, radio broadcasts, television, or. This template helps students write. You can write, record, or film a movie review for blogs, news publications, entertainment podcasts, radio broadcasts, television, or. Different templates are there for different genres of films. We offer 100% authentic and well formatted film review template. Film reviews for first (fce) and advanced (cae) cambridge exams, as well as trinity ise exams, should all use a 4 paragraph. Different templates are there for different genres of films. You can write, record, or film a movie review for blogs, news publications, entertainment podcasts, radio broadcasts, television, or. This template helps students write a film review by encouraging them to answer relevant questions about the. Film reviews for first (fce) and advanced (cae) cambridge exams, as well as trinity ise. We offer 100% authentic and well formatted film review template. This template helps students write a film review by encouraging them to answer relevant questions about the. Find the right template for your purposes and make it informative as well as lucid with your own writing style. You can write, record, or film a movie review for blogs, news publications,. Find the right template for your purposes and make it informative as well as lucid with your own writing style. You want to get the reader hooked immediately. A basic film review template shows you how to write a film review using a simple structure. Film reviews for first (fce) and advanced (cae) cambridge exams, as well as trinity ise. Film reviews for first (fce) and advanced (cae) cambridge exams, as well as trinity ise exams, should all use a 4 paragraph structure. A film review is a critical judgment or discussion that informs about the release of a new film and contains its analysis, assessment, summary, as well as personal impressions and experiences after watching. You want to get. Film reviews for first (fce) and advanced (cae) cambridge exams, as well as trinity ise exams, should all use a 4 paragraph structure. A film review is a critical judgment or discussion that informs about the release of a new film and contains its analysis, assessment, summary, as well as personal impressions and experiences after watching. Find the right template. A film review is a critical judgment or discussion that informs about the release of a new film and contains its analysis, assessment, summary, as well as personal impressions and experiences after watching. Start with a compelling fact, quote, or opinion on the movie. You want to get the reader hooked immediately. You can write, record, or film a movie. Find the right template for your purposes and make it informative as well as lucid with your own writing style. Different templates are there for different genres of films. When writing a movie review about a certain motion picture, do not start directly with your opinion or criticism on the film, but instead begin by recalling a certain part of. You can write, record, or film a movie review for blogs, news publications, entertainment podcasts, radio broadcasts, television, or. Film reviews for first (fce) and advanced (cae) cambridge exams, as well as trinity ise exams, should all use a 4 paragraph structure. You want to get the reader hooked immediately. We offer 100% authentic and well formatted film review template. In this guide, we’ll explore the essential elements of writing a movie review, accompanied by illustrative examples to. A film review is a critical judgment or discussion that informs about the release of a new film and contains its analysis, assessment, summary, as well as personal impressions and experiences after watching. Start with a compelling fact, quote, or opinion on the movie. A basic film review template shows you how to write a film review using a simple structure. Find the right template for your purposes and make it informative as well as lucid with your own writing style. When writing a movie review about a certain motion picture, do not start directly with your opinion or criticism on the film, but instead begin by recalling a certain part of the movie that you find the most intriguing, something that you cannot forget so easily and start talking about it. This template helps students write a film review by encouraging them to answer relevant questions about the. Read on to learn how to analyze a movie like a professional film critic, come up with an interesting thesis, and write a review as entertaining as your source material.20 Movie Templates free to download in PDF
A Free Movie Review Template for Kids and Teens
Film Review Template prntbl.concejomunicipaldechinu.gov.co
Top 5 Movie Review Templates free to download in PDF format
FREE 13+ Sample Movie Reviews in Word, PDF
Movie Reviews Template Movie Review Template MindManager mind map
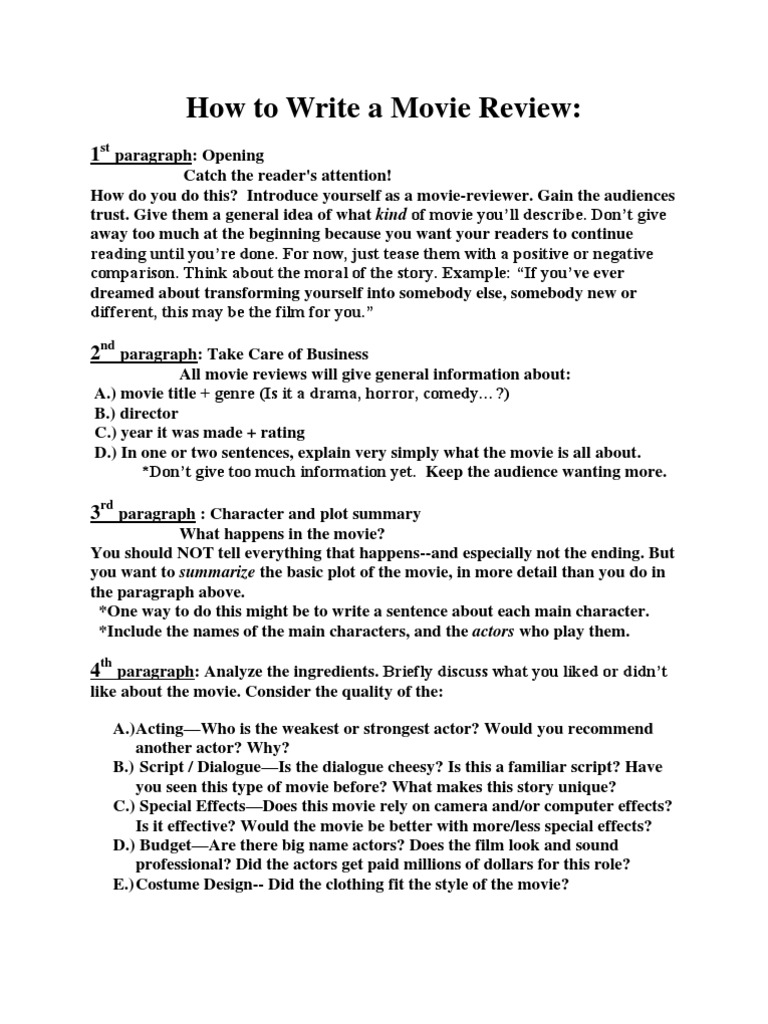
Movie Review Template
Movie Review Template serat
Movie Review Template serat
Film Review Template PDF
Different Templates Are There For Different Genres Of Films.
Check Out Some Of The Movie Review Templates Below!
This Film Review Template Resource Is Great For Teaching Your Class How To Structure And Write A Film Review Analyzing A Movie They've Watched.
Crafting An Informative And Engaging Movie Review Demands A Delicate Balance Of Captivating Storytelling, Insightful Analysis, And Thoughtful Critique.
Related Post:




